Biotin-PEG3-Mal,生物素三聚乙二醇马来酰亚胺的
2025-11-19
[149]
Biotin-PEG3-Mal(生物素-PEG3-马来酰亚胺)是一种结合生物素、三聚乙二醇(PEG3)和马来酰亚胺基团的功能化分子,广泛应用于生物分子标记、蛋白质修饰、药物递送及生物传感器开发等领域。
一、化学性质与结构
分子式:C₂₅H₃₉N₅O₈S
分子量:569.67 g/mol
外观:白色至浅黄色固体或粉末
溶解性:溶于二氯甲烷(DCM)、四氢呋喃(THF)、乙腈、N,N-二甲基甲酰胺(DMF)和二甲基亚砜(DMSO)等有机溶剂,部分产品标注可溶于水或缓冲液(如PBS)。
稳定性:
长期保存需-20℃冷藏,避免反复冻融;
马来酰亚胺基团对pH敏感,最佳反应条件为中性至微碱性(pH 6.5-7.5),过高或过低的pH值会导致其失活。
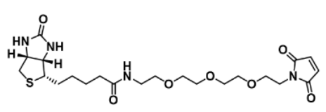
结构式:
二、核心功能基团
生物素(Biotin)
与链霉亲和素(Streptavidin)或亲和素(Avidin)结合,形成高亲和力复合物(结合常数 ),用于生物分子的捕获、富集和检测。
PEG3链
由三个乙二醇单元组成,提供分子柔韧性,减少空间位阻,增强偶联效率;
改善水溶性,降低非特异性吸附,提升标记分子的稳定性。
马来酰亚胺(Maleimide)
与含巯基(-SH)的分子(如半胱氨酸残基、功能化纳米材料)发生特异性反应,形成稳定的硫醚键,实现共价连接。
三、应用场景
生物分子标记与修饰
蛋白质标记:通过马来酰亚胺端与目标蛋白的巯基反应,实现共价连接;再利用生物素端与亲和素系统结合,用于免疫印迹、免疫沉淀、流式细胞术等实验。
肽段修饰:标记含半胱氨酸的肽段,便于后续分离或检测。
药物递送系统
靶向递送:构建生物素化载体(如脂质体、纳米颗粒),通过生物素-亲和素系统实现药物靶向释放。
PROTAC分子合成:作为降解剂连接子(PROTAC linker),连接靶蛋白配体和E3泛素连接酶配体,诱导靶蛋白降解。
生物传感器开发
固定生物识别元件(如抗体、酶),利用生物素-亲和素系统增强传感器灵敏度和选择性。
诊断试剂开发
制备生物素标记的抗体、核酸探针,用于ELISA、荧光原位杂交(FISH)等诊断技术。
四、使用注意事项
储存条件:
长期保存需-20℃冷藏,避免光照和潮湿;
运输时建议干冰保温,防止温度波动导致降解。
反应条件:
马来酰亚胺反应需在中性至微碱性条件下进行,避免使用强酸或强碱;
反应体系中需排除氧气(可充氩气保护),防止马来酰亚胺氧化失活。
安全信息:
仅供科研和工业用途,禁止直接用于人体实验或临床治疗;
操作时需佩戴防护手套和护目镜,避免吸入或接触皮肤。
关于我们:
陕西星贝爱科生物科技经营的产品种类包括有:合成磷脂、高分子聚乙二醇衍生物、嵌段共聚物、磁性纳米颗粒、纳米金及纳米金棒、近红外荧光染料、活性荧光染料、荧光标记物、蛋白交联剂、小分子PEG衍生物、点击化学产品、树枝状聚合物、环糊精衍生物、大环配体类、荧光量子点、透明质酸衍生物、石墨烯或氧化石墨烯、碳纳米管、富勒烯,二氧化硅及介孔二氧化硅,聚合物微球,近红外荧光染料,聚苯乙烯微球,上转换纳米发光颗粒,MRI核磁造影产品,荧光蛋白及荧光探针等等。
温馨提示:仅用于科研,不能用于人体!
相关产品:
Hyaluronate-Biotin,透明质酸-生物素
Diphyllin-Biotin,二叶草素-生物素
loratadine-Biotin 氯雷他定-生物素
生物素-白桦脂醇,Biotin-Betulin
Hederagenin-Biotin,Biotin-常春藤皂苷元
青蒿琥酯-生物素,Artesunate-Biotin
Biotin-甘草次酸
生物素-亚麻木酚素
生物素标记胰岛素 Biotin-Insulin
生物素-昆布多糖,Biotin-Glucan

