Desthiobiotin-PEG8-CONH-DBCO的概述
2025-12-02
[101]
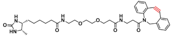
Desthiobiotin-PEG8-CONH-DBCO 是一种结合脱硫生物素、八聚乙二醇(PEG8)、酰胺键(CONH)和二苯并环辛炔(DBCO)的化合物,具有高水溶性、生物相容性和反应特异性,适用于生物标记、生物偶联、药物递送及纳米材料修饰等领域。 以下是详细介绍:
一、化学结构与组成
脱硫生物素(Desthiobiotin):
特性:生物素的类似物,通过去除硫原子产生,但仍保留与亲和素(Avidin)或链霉亲和素(Streptavidin)的高亲和性结合能力。与链霉亲和素结合较弱,可通过生物素竞争性洗脱,适用于高通量检测和动态标记。
作用:作为识别基团,提供可控的亲和作用,实现目标分子的高效富集和可逆结合。
八聚乙二醇(PEG8):
特性:由八个乙二醇单元组成的柔性链段,具有良好的水溶性和柔韧性。
作用:作为连接子,提高化合物的水溶性和生物相容性,同时降低免疫原性。提供柔性和亲水性,减少空间位阻,增强标记的灵活性。
酰胺键(CONH):
特性:连接PEG和DBCO的基团,可能增加化合物的稳定性和反应活性。
作用:在分子中起到连接和稳定不同部分的作用,影响分子的稳定性和溶解性。
二苯并环辛炔(DBCO):
特性:一种常用的无铜点击化学试剂,具有与叠氮基团(Azide)反应的能力,具有高的特异性。适用于无铜点击化学(SPAAC),反应温和,适用于细胞和活体实验。
作用:作为反应位点,承担生物正交偶联角色,实现目标分子的特异性连接。
结构式:

二、物理性质
分子量:约631.77(也有说法为1000-1200 Da,具体取决于PEG链的长度和化合物的具体结构)。
溶解性:溶于大部分有机溶剂,如二氯甲烷(DCM)、二甲基甲酰胺(DMF)、二甲基亚砜(DMSO)、四氢呋喃(THF)等,同时在水中有很好的溶解性。
稳定性:在适当的储存条件下(如-20°C避光保存),能够保持较长时间的稳定性。
外观:通常为白色或无色固体粉末,具体的外观可能因纯度和制备方法而有所不同。
三、应用领域
生物标记:
标记生物分子:通过DBCO与叠氮基团的点击化学反应,可以实现对蛋白质、抗体或核酸等生物分子的标记,用于生物学研究和医学诊断。
高灵敏度检测:在ELISA、免疫荧光等检测技术中,利用该化合物实现目标分子的高效标记和检测。
生物偶联:
分子连接:利用DBCO与叠氮基团的反应特性,该化合物可以将脱硫生物素快速地附着到目标分子或材料上,实现生物偶联。
靶向载体构建:作为连接子,将靶向分子(如抗体)与药物载体偶联,实现药物的靶向递送。
药物递送:
靶向递送:作为药物载体的一部分,利用脱硫生物素与亲和素的结合特性,实现药物的靶向递送。
可控释放:复合物在体内循环中保持稳定,到达目标组织或细胞后,通过酸性环境或竞争性洗脱释放药物,提高疗效并降低副作用。
纳米材料修饰:
表面功能化:适用于量子点、磁性纳米颗粒等纳米材料的修饰,优化生物探针,提高靶向性。
生物传感器构建:通过点击化学反应将其连接到纳米材料表面,用于生物传感器、药物递送系统等的构建。
生物成像:
成像研究:可以与荧光染料等结合,用于生物成像研究,追踪生物分子在生物体内的分布和动态变化。
关于我们:
陕西星贝爱科生物科技经营的产品种类包括有:合成磷脂、高分子聚乙二醇衍生物、嵌段共聚物、磁性纳米颗粒、纳米金及纳米金棒、近红外荧光染料、活性荧光染料、荧光标记物、蛋白交联剂、小分子PEG衍生物、点击化学产品、树枝状聚合物、环糊精衍生物、大环配体类、荧光量子点、透明质酸衍生物、石墨烯或氧化石墨烯、碳纳米管、富勒烯,二氧化硅及介孔二氧化硅,聚合物微球,近红外荧光染料,聚苯乙烯微球,上转换纳米发光颗粒,MRI核磁造影产品,荧光蛋白及荧光探针等等。
温馨提示:仅用于科研,不能用于人体!
相关产品:
生物素-胆汁酸,Biotin-Cholic acid
Biotin-Hinokitiol,生物素修饰桧木醇
DOTA-BIOTIN
生物素标记兰雪醌,Biotin-Plumbagin
cRGD-biotin
Biotin-DOX,生物素偶联阿霉素
生物素标记青蒿琥酯,Biotin-Artesunate
生物素-紫杉醇,Biotin-PTX
王不留行黄酮苷-生物素,Vaccarin-Biotin
CD-Biotin,环糊精-生物素

