CAS:1379799-42-4,exo BCN-PEG4-O-amine的特点
2026-02-09
[28]
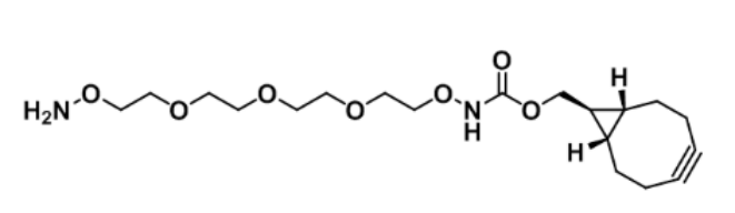
exo BCN-PEG4-O-amine 是一种结合了外型双环壬炔(exo-BCN)基团、四聚乙二醇(PEG4)柔性链以及末端羟胺(-O-NH₂)结构的化合物,具有高反应活性、优异亲水性和生物相容性,广泛应用于生物标记、药物递送、材料科学等领域。
一、化学结构
exo-BCN基团:具有高反应性,能够与叠氮化物标记的分子或生物分子通过无铜点击化学(SPAAC)反应生成稳定的三氮唑连接。这种反应高效、快速,且不产生副产物,无需使用有毒的铜催化剂。
PEG4链段:由四个乙二醇单元组成,具有良好的水溶性和生物相容性。PEG链的引入不仅增加了该试剂的亲水性,还能有效降低生物分子间的非特异性相互作用,显著提高生物相容性。
羟胺(-O-NH₂)基团:是一种常见的反应性功能基团,能够与活性酯、醛、酮等反应形成共价键。羟胺的引入使得exo BCN-PEG4-O-amine能够与多种化学试剂或生物分子发生反应,进行功能化修饰。

二、物理性质
分子式:C₁₉H₃₂N₂O₇
分子量:400.47
CAS号:1379799-42-4
外观:淡黄色粉末或固体
纯度:≥95%
溶解性:溶于水及多数有机溶剂(如DMSO、DMF、THF等)
储存条件:需在-20℃以下干燥、避光保存,避免反复冻融导致降解
三、化学性质
高效点击化学反应:exo-BCN基团与叠氮化物的反应具有高选择性和高效率,适用于生物体内外的标记和偶联。
灵活的偶联能力:羟胺基团能够与多种化学试剂或生物分子发生反应,进行功能化修饰。
稳定性:在适当的储存条件下,exo BCN-PEG4-O-amine能够保持稳定,不易发生非特异性反应。
四、应用领域
生物标记与成像:通过与特定生物分子的结合,exo BCN-PEG4-O-amine能够实现对这些分子的精准追踪与可视化,为生物医学研究提供重要支持。例如,通过BCN基团与叠氮标记的蛋白质、抗体或细胞表面糖类结合,实现分子追踪与可视化,用于荧光成像、流式细胞术等研究。
药物递送:在药物递送系统的构建中,exo BCN-PEG4-O-amine也具有重要应用。通过将该试剂与药物分子结合,可实现药物的靶向递送与控释,显著提高药物疗效,同时减少对健康细胞的副作用。这一特性使其在精准医疗和靶向治疗中展现出巨大的潜力。
材料科学:在材料科学和纳米技术领域,exo BCN-PEG4-O-amine还可用于合成具有特定功能的聚合物材料、纳米粒子等新型材料。其在纳米结构和功能化材料的制备中,展示了广泛的应用前景。
关于我们:
陕西星贝爱科生物科技经营的产品种类包括有:合成磷脂、高分子聚乙二醇衍生物、嵌段共聚物、磁性纳米颗粒、纳米金及纳米金棒、近红外荧光染料、活性荧光染料、荧光标记物、蛋白交联剂、小分子PEG衍生物、点击化学产品、树枝状聚合物、环糊精衍生物、大环配体类、荧光量子点、透明质酸衍生物、石墨烯或氧化石墨烯、碳纳米管、富勒烯,二氧化硅及介孔二氧化硅,聚合物微球,近红外荧光染料,聚苯乙烯微球,上转换纳米发光颗粒,MRI核磁造影产品,荧光蛋白及荧光探针等等。
温馨提示:供应产品仅用于科研,不能用于人体!
相关产品:
endo-BCN-SS-NHS ester,CAS:2751350-71-5
endo BCN-PEG4-PFP ester,CAS:2741299-22-7
endo-BCN-pentanoic acid,CAS:2364591-80-8
exo BCN-PEG3-amine,CAS:1841134-72-2
exo BCN-PEG4-O-amine,CAS:1379799-42-4
endo BCN-PEG2-amine,CAS:1263166-93-3
endo BCN-PEG3-amine,CAS:1883512-27-3
endo-BCN-PEG4-amine,CAS:1898221-77-6
endo-BCN-PEG5-amine
- 上一篇:没有了
- 下一篇:CAS:1841134-72-2,exo BCN-PEG3-amine的概述

